Le calcul du temps de dépôt électrolytique est un élément important qui permet de planifier la production et de calculer le coût de revient du traitement de surface.
Pour plus de facilité, vous pouvez utiliser notre outil de calcul du temps de dépôt.
On souhaite déposer un métal M par voie électrolytique. La réaction du dépôt est du type : Mn+ + ne- ⇌ M
Le temps de dépôt est donné par la relation:

avec
t: le temps en seconde
e: l'épaisseur du dépôt en cm
ρ: la masse volumique en g/cm3
S: la surface du dépôt en cm²
M: la masse molaire du métal
n: le nombre d'électrons mis en jeu dans la réaction Mn+ + ne- ↔ M
I: l'intensité en A
r: le rendement de la réaction
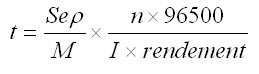
A noter qu'il est usuel pour des raisons pratiques de calculer la surface en dm² et l'épaisseur en µm et d'utiliser un temps en minute. Il faut donc pour cela utiliser la relation suivante:

avec
t: le temps en minutes
e: l'épaisseur du dépôt en µm
ρ: la masse volumique du dépôt en g/cm3
S: la surface du dépôt en dm²
M: la masse molaire du métal déposé
n: le nombre d'électrons mis en jeu dans la réaction Mn+ + ne- ↔ M
I: l'intensité en A
r: le rendement de la réaction
On souhaite déposer une épaisseur de 10 µm de cuivre sur une plaque d'1 m². L'intensité est réglée à 50 A.
MCu = 63,5 g/mol
Masse volumique du cuivre ρ Cu: 8,92 g/cm3
Le rendement est supposé à 100%
Cu2+ + 2 e- ↔ Cu
Le temps de dépôt est donc 1 H 30
Voici un petit récapitulatif des masses molaires des principaux métaux utilisés en traitement de surface. Elles permettent de calculer le temps de dépôt du métal.
| Elément | Masse molaire (en g/mol) |
| Chrome | 52 |
| Cobalt | 58,5 |
| Nickel | 58,7 |
| Cuivre | 63,5 |
| Zinc | 65,4 |
| Molybdène | 95,9 |
| Cadmium | 112,4 |
| Etain | 118,7 |
| Or | 197 |