Broché et Ebook
Editions BoD
"Découvrez le roman qui captive les lecteurs, page après page."
Roman art divorce

Vitesse de réaction

Expression de la vitesse d'une réaction chimique

Soit une réaction: αA + βB → γC + δD
Pendant un temps dt, il y a disparition des réactifs A et B. Parrèlement il y a apparition du produit C et D.

[A] → [A] - d[A] : la vitesse de disparition de A s'écrit vA = -d[A]/dt
[B] → [B] - d[B] : la vitesse de disparition de B s'écrit vB = -d[B]/dt
[C] → [C] + d[C] : la vitesse d'apparition de C s'écrit vC = d[C]/dt
[D] → [D] + d[D] : la vitesse d'apparition de D s'écrit vD = d[D]/dt

La vitesse de la réaction s'écrit:

vitesse de la réaction

Elle peut également s'écrire par rapport au nombre de moles:

vitesse molaire de réaction

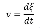
On reconnait dans la relation de la vitesse, l'expression de l'avancement, ce qui nous permet d'écrire la relation : expression de la vitesse volumique La vitesse est ainsi définie comme étant la dérivée par rapport au temps.

Lorsque le système est fermé, c'est à dire sans échange de matière avec l'extérieur, on définit la vitesse volumique de réaction : expression de la vitesse volumique avec V le volume de la solution.

Ordre de réaction