Le facteur de résolution est un paramètre important de la chromatographie car il
définit la plus ou moins bonne séparation de 2 solutés
:

Pour des valeurs de R supérieures à 1,5, les pics sont correctement
séparés.
Cette relation peut également s'écrire sous la forme ci-dessous. Elle est connue sous le nom d'équation de Purnell:

La résolution va donc dépendre du nombre de plateaux N de la colonne, de la sélectivité α et du facteur de rétention k. Dans l'optimisation d'une méthode chromatographique, on recherche à avoir une bonne résolution R c'est à dire des valeurs pour R au moins égale à 1,5 (retour à la ligne de base entre 2 pics).
On pourra donc agir sur l'un des 3 facteurs pour améliorer la résolution.
En écrivant la relation sous la forme :

On constate que R augmente si :
- on augmente le nombre de plateaux N
- on améliore la sélectivité α
- on augmente le facteur de rétention k
Les courbes ci-dessous montre l'influence de chaque facteur sur la résolution (Source Interchim)

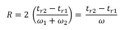
On part de la relation du facteur de résolution. Les pics étant l'un à côté de l'autre on peut supposer que leur largeur est similaire. On peut donc approximer que ω1 est égal ω2 soit ω. La relation peut donc s'écrire sous la forme simplifiée:

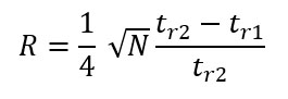
D'autre part on peut le nombre N de plateau de la colonne sous la forme :

En combinant les deux relations on obtient :

On introduit ensuite le facteur de rétention k :

Ce qui donne en combinant les 2 relations

La multiplication par 1 sous la forme de (tr2- tm)/(tr2- tm) permet de faire apparaitre k2

On effectue la même chose avec k1


Il ne reste plus qu'à faire apparaitre la sélectivité α
